ATP: več kot le vir energije

Audio file
Ohranjanje visoke koncentracije ATP preprečuje nastanek proteinskih agregatov v kvasovkah

Japonska raziskovalna skupina v reviji eLife poroča, da konstantno visoka koncentracija molekul ATP v celici prepreči neželeno agregacijo proteinov v kvasovkah.

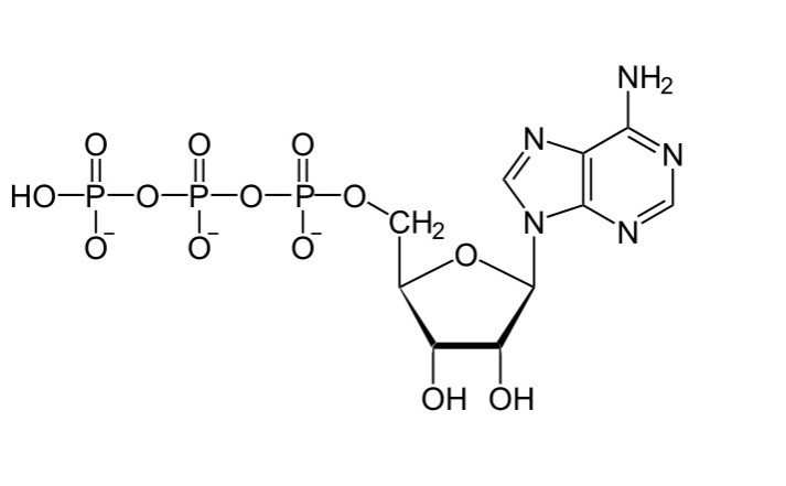
Adenozin trifosfat, bolje poznan s kratico ATP, je majhna organska molekula, ki zagotavlja energijo za številne celične procese v vseh do sedaj poznanih oblikah življenja. Molekula ATP je zgrajena iz dušikove baze adenozina in treh fosfatov. Ko se iz molekule ATP odcepi en fosfat, dobimo adenozin difosfat oziroma ADP. Če se odcepita dva fosfata, pa se ATP pretvori v adenozin monofosfat oziroma AMP. Ob odcepitvi fosfatov z ATP se energija sprošča, nasprotno pa celica energijo porablja, če želi z dodajanjem fosfatov pretvoriti AMP ali ADP v ATP.

Novejše raziskave so nakazale, da ima ATP v celicah še eno pomembno vlogo, in sicer vpliva na znotrajcelično agregacijo proteinov, to je združevanje posameznih proteinov v skupke. Proteinski agregati so za celice lahko toksični, z njimi je povezanih tudi veliko bolezni, denimo Alzheimerjeva in Parkinsova bolezen ter prionske bolezni, med katere sodi tudi bolezen norih krav.

Japonska raziskovalna skupina je z uporabo mikroskopskih tehnik spremljala znotrajcelično koncentracijo ATP in nastanek proteinskih agregatov v kvasovkah vrste Saccharomyces cerevisiae. Poleg običajnih, nespremenjenih kvasovk so opazovali tudi kvasovke z mutacijami v genih za proteine, ki uravnavajo energetsko homeostazo celice ter pretvarjajo ATP v ADP in AMP oziroma obratno. Ugotovili so, da je pri običajnih kvasovkah koncentracija ATP konstantno visoka, pri mutiranih kvasovkah pa so opazili nihanja od nizke do visoke koncentracije ATP. Pri mutantah so opazili tudi povečano agregacijo proteinov, ki je dobro kolerirala s padci v koncentraciji ATP.

V nadaljnjih poskusih so v kvasovkah spremljali agregacijo človeških proteinov sinukleina in huntingtina. Sinuklein povezujemo s Parkinsonovo, huntingtin pa s Huntingtonovo boleznijo. V mutiranih kvasovkah so opazili povečano agregacijo obeh omenjenih proteinov in tudi, da so nastali proteinski agregati imeli toksičen učinek na celice. Dodatek kemikalij, ki so povečale koncentracijo ATP v kvasovkah, pa je v nekaterih mutantah preprečil povečano agregacijo proteinov sinukleina in huntingtina.

Izsledki raziskave kažejo na pomembno vlogo ohranjanja konstantno visoke koncentracije ATP v celicah za preprečitev agregacije proteinov v kvasovkah. Raziskava je tudi osvetlila možno vlogo padcev v koncentraciji ATP pri nastanku nekaterih bolezni, kar bi bilo gotovo smiselno preučiti v nadaljnjih študijah na človeških celicah.

Za visoke koncentracije ATP v celicah je skrbela Angelika.

Prazen radio ne stoji pokonci! Podpri RŠ in omogoči produkcijo alternativnih, kritičnih in neodvisnih vsebin.

Dodaj komentar

Komentiraj

Z objavo komentarja potrjujete, da se strinjate s pravili komentiranja.

Napovedi