Vstopna stran
Navigacijski meni
Program
Politika
Glasba
Kultura
Družba
Univerza
Znanost
RTVŠ
Ostalo
Glasbena oprema
RŠ hit
Mestni napovednik
Koncertni zapovednik
Komentarji
Arhiv
Podpri RŠ
Trgovina
Social links
Vmesnik
kemija
Pagination
Page
1
Page
2
Next page
→
Last page
⇥
Vir: Wikimedia Commons, licenca CC
Audio file
Predvajaj (41:51)
Znanost
ARŠO
11. 9. 2025 – 19.00
Nadomestni ARŠO
Kako lahko zamenjava starih materialov z novimi povzroči negativne okoljske posledice
Luka Jurečič
Vir: Kolaž slik z licenco Creative Commons
Audio file
Predvajaj (20:25)
Znanost
Baltazar odgovarja
12. 12. 2024 – 10.15
Baltazar peče potico, 2. del
Zakaj se potica pri peki razširi in zakaj tako lepo diši?
Luka Jurečič
Vir: Kolaž slik z licenco Creative Commons
Audio file
Predvajaj (20:07)
Znanost
Baltazar odgovarja
5. 12. 2024 – 10.15
Baltazar peče potico, 1. del
Koliko znanosti se skriva v peki potice?
Luka Jurečič
Vir: Kristalna struktura PDB:1RJC/avtorska/zajeto s programom UCSF Chimera
Audio file
Predvajaj (5:25)
Znanost
Znanstveni britoff
5. 12. 2024 – 7.05
Stereokemija intrinzičnega nereda
Stereokemijske značilnosti interakcij intrinzično neurejenih proteinov.
Uroš Zavrtanik
Vir: Optični, elektronski mikroskop in mikroskop na atomsko silo. Kolaž slik z licenco Creative Commons.
Audio file
Predvajaj (53:35)
Znanost
Frequenza della scienza
4. 12. 2024 – 21.00
Ko vidimo atome
O razvoju elektronskih mikroskopov in mikroskopiji na atomsko silo
Luka Jurečič
Vir: Slika iz članka, licenca CC
Audio file
Predvajaj (4:27)
Znanost
Znanstveni britoff
5. 11. 2024 – 7.05
Pazi, srebro dva!
O eksotičnih spojinah srebra
Luka Jurečič
Vir: Flickr, licenca CC
Audio file
Predvajaj (1:05:35)
Znanost
Odprti termin za znanost
28. 10. 2024 – 23.00
Nočni program znanstvene redakcije
O satiričnih Ig nobelovih nagradah in nagrajevanju znanosti
Luka Jurečič
Vir: Wikimedia Commons, licenca Creative Commons
Audio file
Predvajaj (4:07)
Znanost
Znanstveni britoff
11. 6. 2024 – 7.05
Nič več zlatotopke
Okolju prijazna reciklaža kovin iz elektronskih naprav
Luka Jurečič
Audio file
Predvajaj (5:58)
Znanost
Znanstveni britoff
9. 5. 2024 – 7.05
Znanstvena napitnica RŠ-u
Iskrivi šampanjec ob častitljivi obletnici RŠ
Uroš Zavrtanik
Audio file
Predvajaj (3:42)
Znanost
Znanstveni britoff
29. 3. 2024 – 7.05
Z ioni nad plastiko
Mikroreaktor za razgradnjo organskih onesnaževal
Luka Jurečič
Audio file
Predvajaj (4:51)
Znanost
Znanstveni britoff
30. 1. 2024 – 7.05
Samonapajalna svetleča rastlina
Umetna rastlina, ki napaja LED-svetilke le na osnovi vodnih kapljic in vetra
Testni Osebek
Audio file
Predvajaj (4:41)
Znanost
Znanstveni britoff
28. 12. 2023 – 7.05
(Ne)plesnive borovnice
Kako lahko ekstrakt sončnic prepreči rast plesni na sadju
Testni Osebek
Audio file
Predvajaj (5:05)
Znanost
Znanstveni britoff
1. 12. 2023 – 7.05
Vzpon postlitijevih baterij
Ogljikove nanostrukture kot obetajoč material za bolj trajnostne natrijeve in kalijeve baterije
Testni Osebek
Audio file
Predvajaj (4:08)
Znanost
Znanstveni britoff
16. 10. 2023 – 7.05
Kemizem da Vincijeve slikarske palete
Podrobna analiza sestave da Vincijeve slike Mona Liza
Uroš Zavrtanik
Audio file
Predvajaj (3:43)
Znanost
Znanstveni britoff
6. 2. 2023 – 8.05
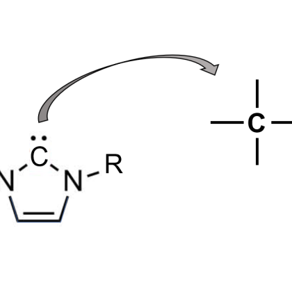
En ogljik in štiri vezi
Nova sintezna strategija za sintezo kompleksnejših organskih molekul
Uroš Zavrtanik
Audio file
Predvajaj (3:56)
Znanost
Znanstveni britoff
10. 1. 2023 – 8.05
Nevidni fosfati
Skrita stanja fosfatnih ionov
Uroš Zavrtanik
Audio file
Predvajaj (4:16)
Znanost
Znanstveni britoff
9. 3. 2022 – 8.00
Biokemija na pomoč sintezni organski kemiji
Biokatalitsko združevanje organskih molekul z aromatskimi obroči
Uroš Zavrtanik
Audio file
Predvajaj (3:53)
Znanost
Znanstveni britoff
19. 11. 2020 – 7.05
Starodavni pigmenti podrobno
Analiza kemijske sestave pigmentov v egipčanskih tuših
Uroš Zavrtanik
Audio file
Predvajaj (1:01:36)
Znanost
Frequenza della scienza
16. 10. 2019 – 20.00
Elementarno
Posebna edicija FDS ob 150. obletnici periodnega sistema elementov
Uroš Zavrtanik
Audio file
Predvajaj (4:40)
Znanost
Znanstveni britoff
11. 6. 2019 – 7.05
Čisto novi, ljudski proteini
Z igranjem računalniške igrice do čisto novih proteinov
Uroš Zavrtanik
Audio file
Predvajaj (4:03)
Znanost
Znanstveni britoff
6. 2. 2019 – 7.05
Kapljice RuBisCa za boljšo fotosintezo
Pomembno odkritje na področju fotosinteze
Uroš Zavrtanik
Audio file
Predvajaj (4:45)
Znanost
Znanstveni britoff
26. 11. 2018 – 7.05
Zakaj bi fural monocikel, če je pa bicikel?
Slovenski raziskovalci predlagali nov reakcijski mehanizem pomembne sintezno-organske reakcije
Uroš Zavrtanik
Audio file
Predvajaj (3:55)
Znanost
Znanstveni britoff
20. 6. 2018 – 7.05
DNA de novo po novem
Novi sintezni postopki za DNA de novo
Uroš Zavrtanik
Audio file
Predvajaj (4:09)
Znanost
Znanstveni britoff
22. 5. 2018 – 7.05
I-motiv živi
Nekanonične strukture DNA v živih celicah
Testni Osebek
Audio file
Predvajaj (9:55)
Znanost
Znanstveni komentar
4. 5. 2018 – 16.00
Zunajzemeljsko življenje
Življenje na Titanu?
Testni Osebek
Audio file
Predvajaj (4:02)
Znanost
Znanstveni britoff
9. 4. 2018 – 7.05
Skrivnosti vode, skrite v tetraedru
Vzrok za opažene anomalne lastnosti vode
Testni Osebek
Audio file
Predvajaj (4:10)
Znanost
Znanstveni britoff
23. 3. 2018 – 7.05
Termodinamski ples encimov
Poplesavanje atomov omogoča uspešno delovanje encimov pri različnih temperaturah
Testni Osebek
Audio file
Predvajaj (3:16)
Znanost
Znanstveni britoff
13. 6. 2017 – 7.05
Fotosinteza 2.0
Umetna fotosinteza bolj učinkovita od rastlin
Angelika Vižintin
Audio file
Predvajaj (4:38)
Znanost
Znanstveni britoff
6. 5. 2016 – 7.05
Temačne reakcije
Povezava med avtizmom in rakom ter računalniško napovedovanje poteka kemijskih reakcij
Andrea Šetina
Audio file
Predvajaj (0:00)
Znanost
Znanstveni britoff
6. 1. 2016 – 7.05
BIOGORIVA IN NETOPIRJI
O napredku v proizvodnji biodizla in klic netopirja v mestu.
Testni Osebek
Pagination
Page
1
Page
2
Next page
→
Last page
⇥
Vir: Jon Napotnik
Vir: rš
Vir: Društvo SOS